the Green Theorem and Stoke’s Theorem initially appears straightforward. However, upon deeper reflection, it’s not that intuitive at all. Delving further, one realizes its profound connection to fundamental mathematics.
The essence of these theorems lies in their ability to enable us to zoom in and out, navigating between micro and macro levels of understanding. This zooming metaphorically parallels our journey from segments and lines to planes and finally to three-dimensional cuboids. In topology, these correspond to 1-chains, 2-chains, and 3-chains respectively, with higher dimensions termed as manifolds. A crucial characteristic of these manifolds is their lack of “holes,” a property studied by homology and cohomology.
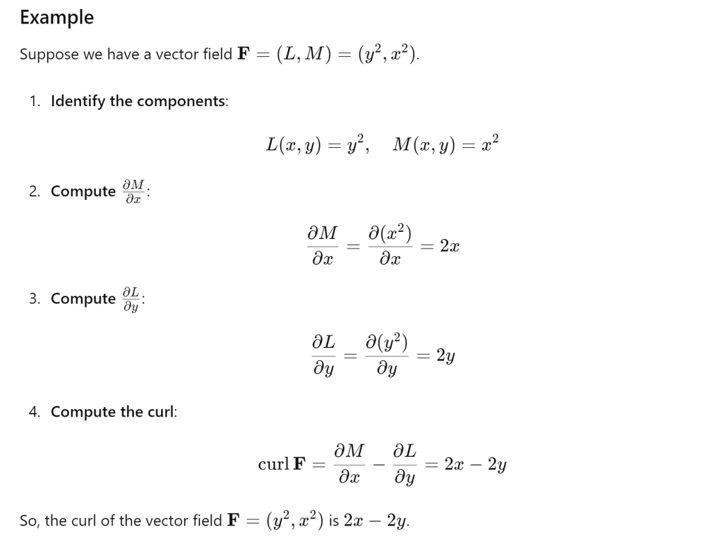
The key revelation lies in the transition from the familiar df/dx derivative in one dimension to the curl in two dimensions and divergence in three dimensions. How can one make sense that lineal integral of 1D is equivalent to 2D area integral?!

