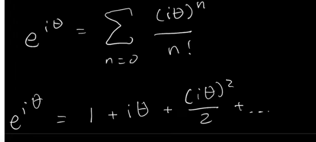
Starting from Noether’s theorem, the U(1) symmetry is associated with a conserved quantity, thereby necessitating its representation in an alternative formulation.




Then we need to consider the complex field rather than scalar field, hence

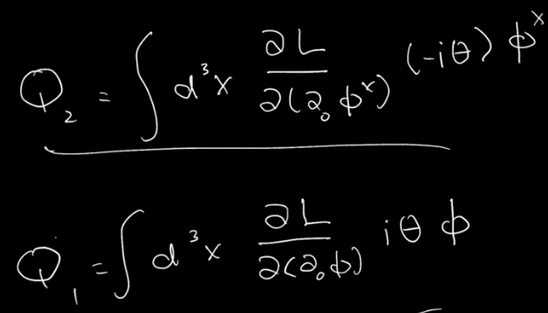
Then there is a leap on interpreting Q as charger operator or Number (of charges) operator.