What’s adjoint representation?

We also call such group abelian, meaning Tg and gT commute, and if it doesn’t transform in such a way, it’s non-abelian.
It’s hard to understand the Einstein symbols in this representation formula, let’s use a concrete example to illustrate:



This leads to deep understanding that
| Group type | What happens |
|---|---|
| Abelian (U(1)) | (gTg^{-1}=T) → no self-interaction |
| Non-abelian (SU(2), SU(3)) | (gTg^{-1}\neq T) → bosons carry charge |
The aforementioned description remains convoluted; it is imperative that we focus on the fundamental aspects.
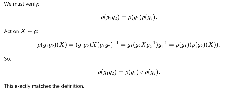
Starting from the definition of representation.

What exactly is the map when we say ‘adjoint representation’?


Key NOTE here:

Only in abelian case, the transformation of T returns T itself


