It’s worth to lay out detailed derivation of Lorentz transformation to grasp this concept deeply. So Lorentz Transformation is a linear transformation between inertial frames. Let’s assume the object is moving at constant relative velocity along the z-axis to make it simple.

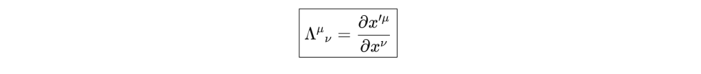
Note the lambda here is basically the Jacobian matrix to transform in various inertia frames


Now let’s derive it:




