In 1920s, Pauli faced the problem to solve properties of electrons:
- Magnetic behavior like a tiny bar magnet
- Two-valued “intrinsic” angular momentum (spin up / spin down)
- Spectral line splittings (Zeeman effect) that orbital angular momentum alone could not explain
So Pauli needed a mathematical object that:
- Acts like angular momentum
- But has only two internal states
- Works inside Schrödinger’s quantum mechanics




Experiments of measuring spinor S on z axis, i.e. Sz yield two outputs; +z and -z, half and half:



Note Pauli matrices describe spin, but the physical spin operator includes the factor .



Spinor matrix combined with h/2 is spinor operator S!
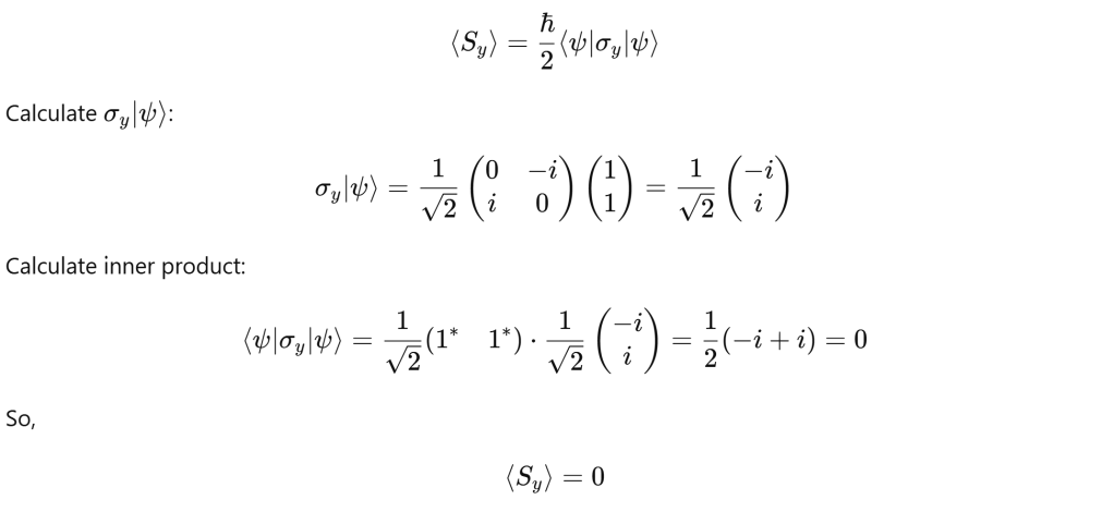
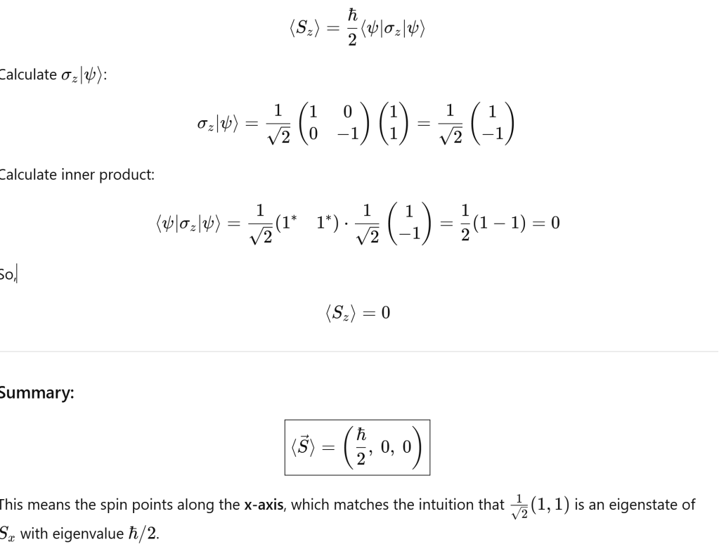
It’s essential to understand the concept of spinor operator, spinor quantum state/electron, and <Svector>, with the following concrete example.
the spinor/electron is in this quantum state:



