It is so clever that the mathematicians figure out the formula for such a common phenomena. Referencing this video I got to peek through.
Throwing a dart to the hit the target, we use this model to compute the PDF – probability density function sai. Knowing that what is proportional to sai value is not x, or y, but the distance to the origin r.


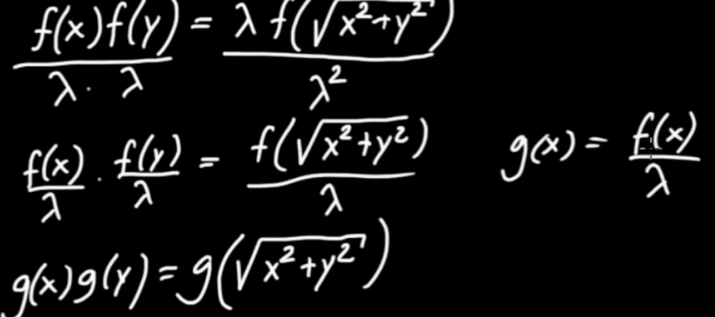
This author assume an extreme case that y = 0, then conclude sai(x) = lambdaf(x) as f(y) = f(0) = constant lambda.

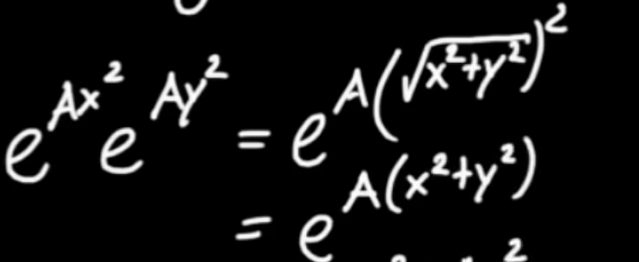
How to solve this g, by observing it look similar but not exact to h(x)h(y) = h(x+y) which can quickly relates to the power of e or any constant. Then the work is just to manipulate x2+y2 to make it exact. So we need to square and then take exponent. let’s assume



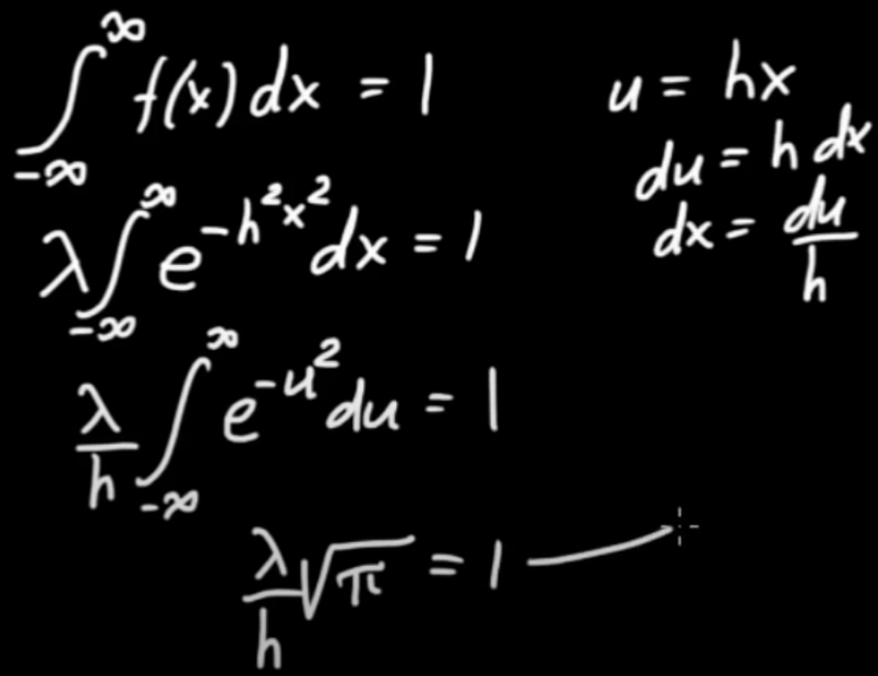
Now we just need to polish up. 1. A can not be positive or it will blow up, so we let A = -h^2, h belonging to Real number; 2. the total area this f(x) covers should be 1 as it is the probability density integral;


3. find the relationship between lambda and it’s relationship to variance sigma squared.


then we conclude the normal equation

If we generalize it

