Noah’s several videos on QM is so far the best. This blog is about Pauli Matrices:

Note this Pauli matrix on x, y, z respectively and all of them satisfy that when multiply it with up spin it’s same, while with down spin, it’s negative sai.

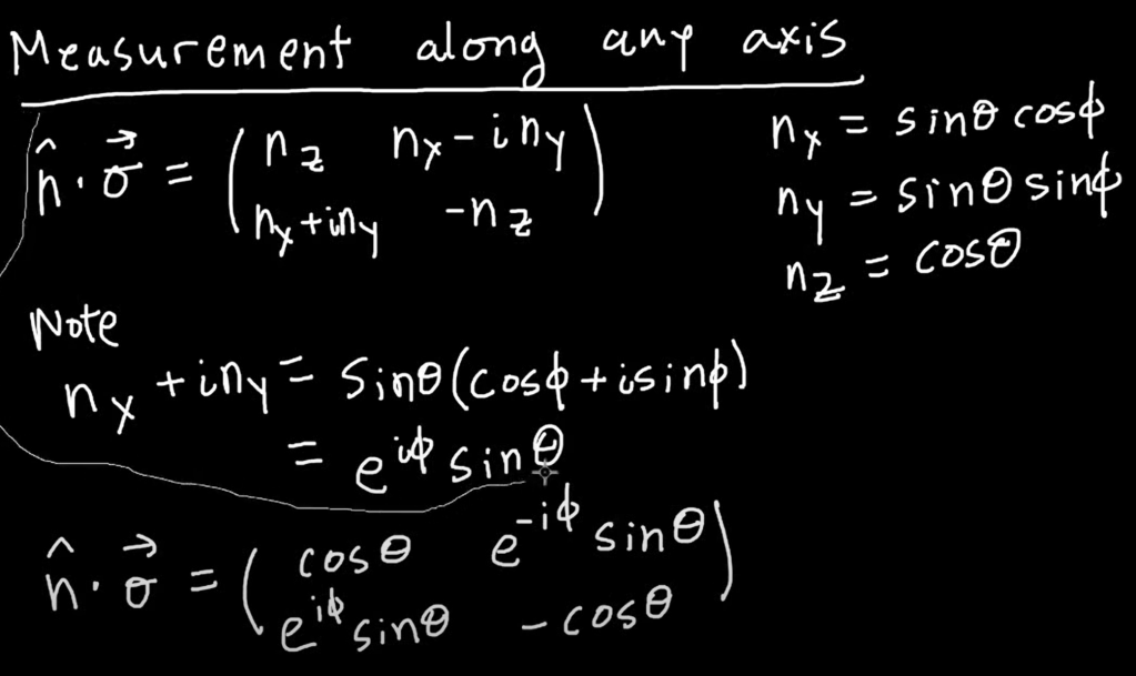
If there is an arbitrary vector n, how to define the quantum vector sai that is on the direction of n vector?


So if we need to measure on any axis,




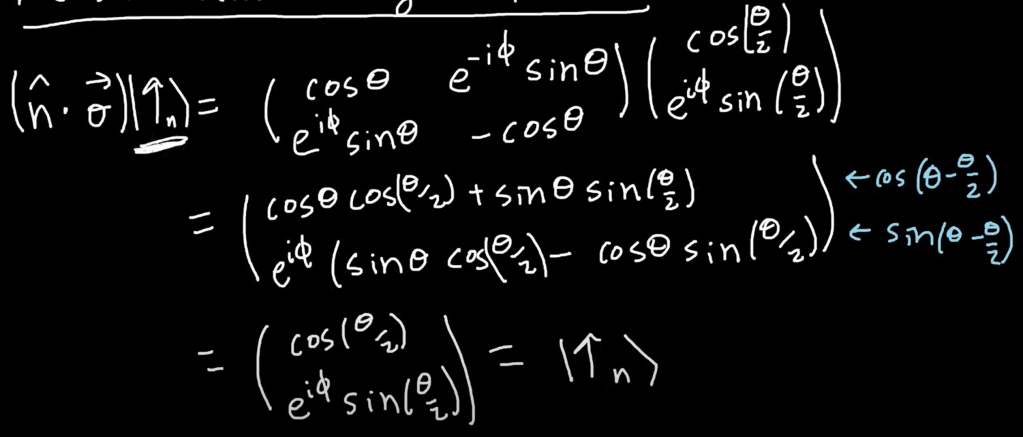
this n vector dot product sigma vector is really a matrix with upward spin as eigen state/vector, and eigen value=1.
In conclusion

Note I didn’t get to know how Noah define upward n direction spin as cos(theta/2), eiphisin(theta/2) above, He just provided.
We know that the arbitrary vector n can be expressed as the following:

to prove it just need to compute one by one composed of nx, ny, and nz.

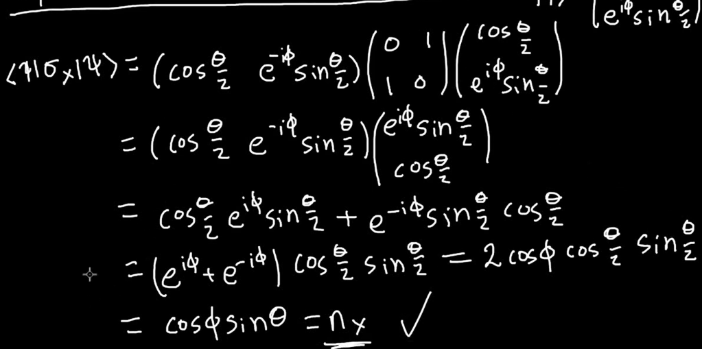
So now we can do some probability calculation


Evolution of Bloch vectors and rotations: if there is an arbitrary unit vector n, and set the magnetic field B same along z axis: time evolution in a magnetic field is a ROTATION.
