Doctorphys is the best in explaining spinor including Pauli Matrices and Dirac Equations.
He starts from Matrix properties, especially unitary matrixes that is essential in QM: U+ = U-1

Then name sigma x, sigma y, sigma z respectively


Then it’s easy to compute and discover the pauli matrices anticommutator is zero and commutator is

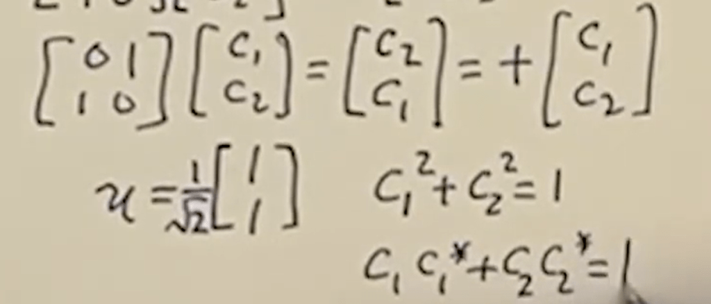
Then he teaches eigen value concept, and illustrate the process to compute eigen value and eigen vector for sigma x:


the other eigen vector v = 1/sqr2[1, -1].