What is Lagrangian in high speed/relativity world while it is given to be the kinetic energy minus potential energy in Newtonian/low speed scenario?
It’s actually more intuitive as is the world line length in space-time. We want to get the shortest length in form of metric theory leading to Lagrangian equation too.

This is more geometrical and fundamental compared to the Newtonian L. To see how they connect/derive from relativity:(tbd)
Then we can derive momentum and energy in relativistic framework. P = rmx’; E=rmc^2.
Lagarangian in field theory, the least action taken formula is



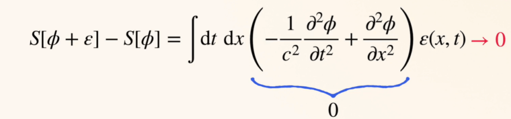
If we apply the same procedure in Lagarangian,

Aha, we got the wave equation
