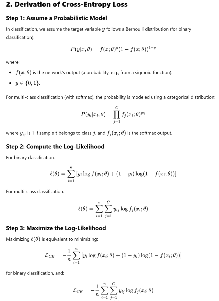
Maximum Likelihood Estimation (MLE) is a robust statistical methodology employed to ascertain the parameters of a probability distribution through the maximization of the likelihood function. The significance of the likelihood function cannot be overstated, as it concurrently serves as the loss function within the framework of neural network mechanisms.


Loss functions in neural networks can often be derived using MLE by assuming a probabilistic model for the output. Below, we derive Mean Squared Error (MSE) and Cross-Entropy Loss from MLE principles.

