Now we have the solution to Dirac Equation, but experiments return real numbers for energy, momentum, charge etc. so we need to find the mathematical object that eats a complex field/solution and outputs a real number!
These mathematical objects have to be Hermitian Operators. from previous blog, we know energy operator is generator of time translation:


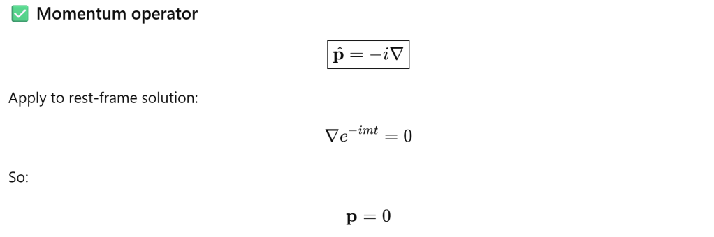
As it’s in rest frame, so the measure of momentum is 0:

Overall, the solution is a “Dirac spinor” which is not an observable object; it is a carrier of symmetry.
Real physical quantities emerge only when symmetry generators act on it. It is unobservable because it is not a spacetime object at all.


My understanding that it’s abstract/unobservable because time is woven into is not quite right. The real obstruction: representation theory: A Dirac spinor is not an observable because it transforms under a non-unitary, non-tensorial representation of the Lorentz group.
Meaning:
- its components have no invariant meaning
- different observers mix components in a way that destroys any direct interpretation
- you cannot assign a frame-independent “value” to a component